Sie sind nicht angemeldet.

Lieber Besucher, herzlich willkommen bei: Silkroad Online Forum. Falls dies Ihr erster Besuch auf dieser Seite ist, lesen Sie sich bitte die Hilfe durch. Dort wird Ihnen die Bedienung dieser Seite näher erläutert. Darüber hinaus sollten Sie sich registrieren, um alle Funktionen dieser Seite nutzen zu können. Benutzen Sie das Registrierungsformular, um sich zu registrieren oder informieren Sie sich ausführlich über den Registrierungsvorgang. Falls Sie sich bereits zu einem früheren Zeitpunkt registriert haben, können Sie sich hier anmelden.

1

12.01.2010, 21:04

Bestimmung von Variablen bei Polynomen

Hi,

bin zurzeit in der 11. Klasse und in Mathe nehmen wir gerade Polynome 2., 3. und 4. Grades durch.

Allerdings verstehe ich einfach nicht, wie man die Variablen rausbekommt. Unser Lehrer rechnet uns das so vor:

Gegeben sind 3 Punkte:

(Punktprobe anhand der Gleichung f(x)=ax²+bx+c)

P1 (2 | -10) Punktprobe für P1: 4a+2b+c = -10

P2 (8 | -19) Punktprobe für P2: 64a+8b+c = -19

P3 (-4 / 17) Punktprobe für P3: 16a-4b+c = 17

P1 - P2) -60a-6b = 9
P3) - P1) 12a-6 = 27

-_______________

-72a = -18

Daraus ergibt sich dann: a = 1/4
b = -4
c = -3

f(x) = 1/4 x²-4x-3



Die Rechenschritte kann ich bei dieser Aufgabe einigermaßen nachvollziehen, aber sobald ich andere Punkte bekomme, bleibe ich einfach mitten in der Aufgabe stecken.

Z.B. bei dieser:

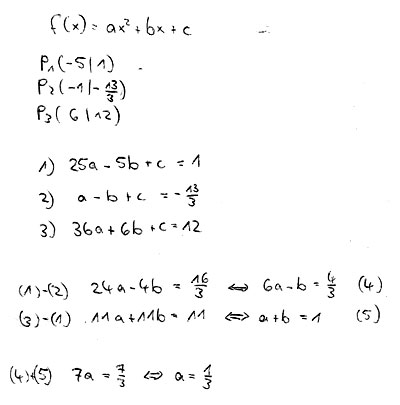
P1 (-5 | 1)
P2 (-1 | -4 1/3)
P3 (6 | 12)

Wenn ich hier wie oben vorgehe, mache ich zuerst einmal die Punktproben:

P1) 25a-5b+c=1
P2) a-b+c=-4 1/3
P3) 36a+6b+c=12

Dann

P1) - P2) 24a-4b=5 1/3
P3 - P1) 11a+11b=11
_____________________

13a+7b= -6 1/3

Aber jetzt sind hier ja 2 Variable in der Gleichung, aber oben in der richtigen Aufgabe ist ja nur a und eine Zahl ohne Variable. Entweder habe ich schon vorher etwas falsch gemacht oder ich komm einfach nicht drauf, wie es weitergeht.

Um zu sehen, ob wir richtig gerechnet haben, meinte unser Lehrer, dass die Variablen a, b und c bei dieser Aufgabe zusammengerechnet -3 ergeben. Aber wie muss ich diese Aufgabe eigentlich rechnen? Wenn's geht, bitte den gleichen Rechenweg wie oben, sonst verstehe ich gar nix mehr.

Wundert euch nicht über peinliche Rechenfehler etc., bin ein absoluter Noob in Mathe. Morgen ist die Arbeit, also fast plz. :D Stehe sowieso schon auf 4.8.:S Wie man Schnittpunkte bei Parabeln ausrechnet etc. verstehe ich, nur das hier nicht so ganz.

Gruß und danke.

2

12.01.2010, 21:16

ich würd das mit'm Gauß machen

3

12.01.2010, 21:36

Man muss 2 Gleichungen immer so miteinander verrechnen, dass eine Variable verschwindet.
Dazu ist es meist nötig, die Gleichungen äquivalent umzuformen.

Um auf (4) zu kommen, habe ich (1)-(2) durch 4 geteilt. Die andere durch 11.
»Deyrin« hat folgende Datei angehängt:
  • Unbenannt-1.jpg (19,82 kB - 2 009 mal heruntergeladen - zuletzt: 08.04.2026, 02:02)

4

12.01.2010, 21:37

Man kann Polynome auch mit dem Horner Schema lösen.

Um die Rechenschritte zu lernen kannst du dir die Seite von Arndth Brünner anschauen.

5

12.01.2010, 22:01

Naja, das Horner-Schema verwenden wir nur bei Polynomen 3. und 4. Grades.

Wie geil bist du denn, Deyrin? :D

Ich habe tatsächlich -3 rausbekommen.

Du hast ja a= 1/3 ausgerechnet.

Wenn man diese 1/3 dann in (5) einsetzt, ist b= 2/3, da ja 1/3+2/3= 3/3 sind und das 1 ist.

In 1) eingesetzt ergibt dann 25*1/3 - 5*2/3 - 4 = 1. c ist also -4 - wie unser Lehrer gesagt hat ergibt a+b+c letztendlich -3.

Genial! Jetzt nur noch hoffen, dass ich nicht schlechter als 3,7 schreibe und somit keine 5 in Mathe im Halbjahreszeugnis steht.:D

Dieser Beitrag wurde bereits 3 mal editiert, zuletzt von »King Pati« (12.01.2010, 22:30)


6

12.01.2010, 22:11

Dann übe noch etwas, kannst du mit der Arndt Brünner Seite eigentlich sehr gut, zeigt dir auch die Teilschritte an, die du machen musst, wenn du willst.

7

12.01.2010, 22:21

Viel Glück, im Nachhinein ist es ja nicht so schwer, nur anfällig gegenüber Flüchtigkeitsfehlern.

8

20.01.2010, 14:34

Hab ne 3,8 in der Arbeit.:) Und das, obwohl ich neben dem Lehrer noch meinen Namen draufgeschrieben habe und er das Blatt dann nicht mehr annehmen wollte, weil wir schon abgeben hätten sollen.:S War aber zum Glück das letzte - dementsprechend stand nicht mehr allzu viel darauf.

Mit 4,6; 5,0 und der 3,8 komm ich genau auf 4,4. Hätte ich eine 3,9 geschrieben, würde ich auf 4,5 stehen und somit eine 5 bekommen. Man, nochmal Schwein gehabt.:)