Lieber Besucher, herzlich willkommen bei: Silkroad Online Forum. Falls dies Ihr erster Besuch auf dieser Seite ist, lesen Sie sich bitte die Hilfe durch. Dort wird Ihnen die Bedienung dieser Seite näher erläutert. Darüber hinaus sollten Sie sich registrieren, um alle Funktionen dieser Seite nutzen zu können. Benutzen Sie das Registrierungsformular, um sich zu registrieren oder informieren Sie sich ausführlich über den Registrierungsvorgang. Falls Sie sich bereits zu einem früheren Zeitpunkt registriert haben, können Sie sich hier anmelden.
Benutzerinformationen überspringen
Beruf: Clubmitglied des *Ich verstehe HueHangs Avatar nicht* Clubs
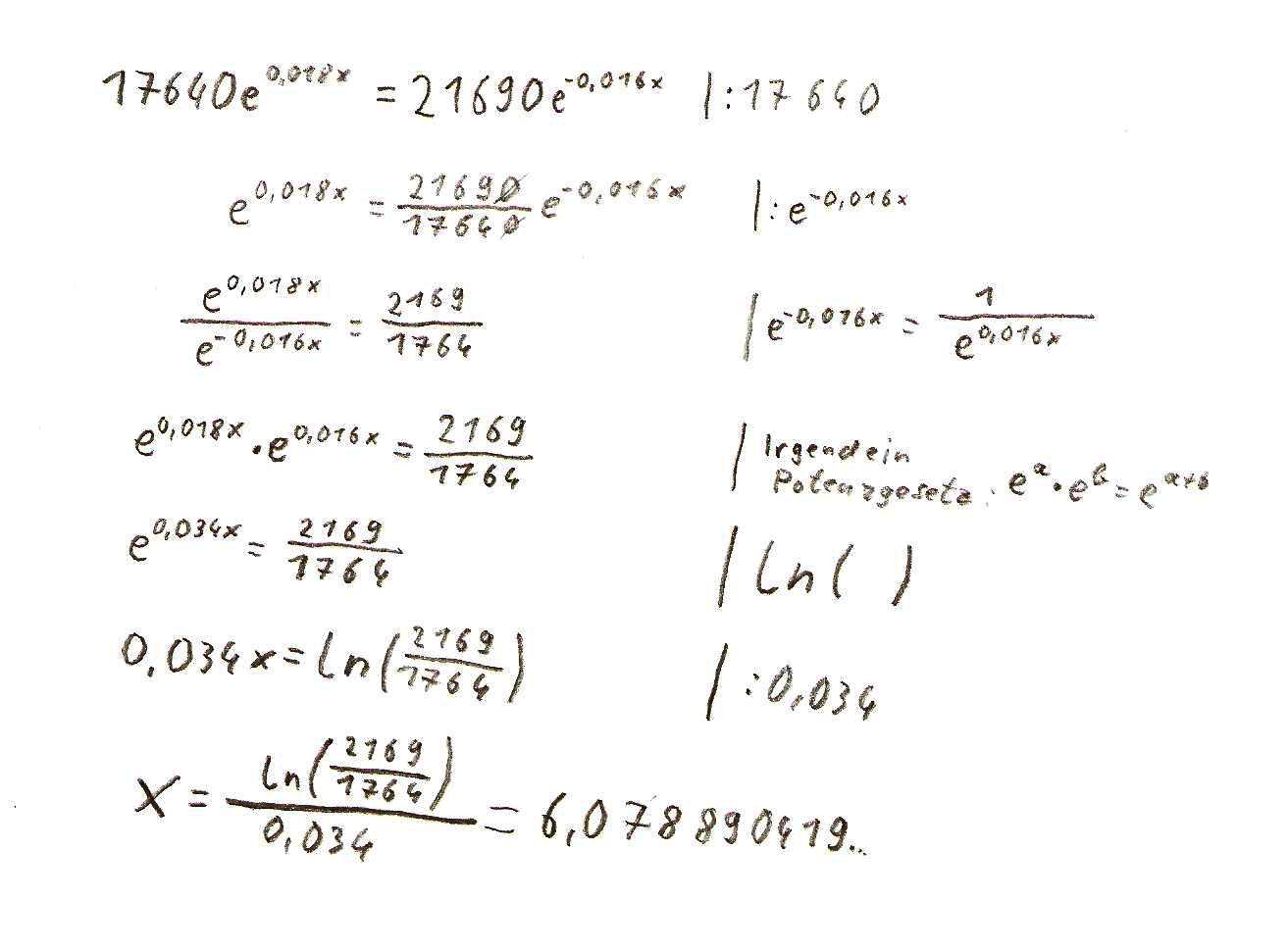
index.php?page=Attachment&attachmentID=2000617640e^0,018x und 21690e^-0,016x
wie gleichsetzen? wtf?
Intelligenz ist so sexy!
Tuna pass auf Jessy isn Brainsucker from Outaspace, sie saugt dir das Hirn durch deinen Penis raus ... momentindex.php?page=Attachment&attachmentID=2000617640e^0,018x und 21690e^-0,016x
wie gleichsetzen? wtf?
![]()
![]()
Intelligenz ist so sexy!
![]()
Jessy bläst ja net. Hab mich wohl geirrt 
moin nachti schazti ^^
Tuna pass auf Jessy isn Brainsucker from Outaspace, sie saugt dir das Hirn durch deinen Penis raus ... momentindex.php?page=Attachment&attachmentID=2000617640e^0,018x und 21690e^-0,016x
wie gleichsetzen? wtf?
![]()
![]()
Intelligenz ist so sexy!
![]()
Jessy bläst ja net. Hab mich wohl geirrt
is ja wie bei steps o,ohmmm ... wurde von unbekannter nummer angerufen ... ich würde ja zurückrufen,ABER ! ....
dödöm

